티스토리 뷰

예전에는 내가 먹는 약에 어떤 부형제들이 포함되어 있나 알기 어려웠지만, 현재는 전성분공개를 통해서 어떤 부형제들이 포함됐는지 쉽게 알 수 있습니다. 앞선 글들에서 말씀드렸듯이 활성 성분인 주성분을 제외한 성분들을 부형제라 일컫으며, 부형제에 기능별로 다른 이름으로 불립니다. 이번 글은 그 중 슈퍼붕해제로 알려진 크로스포비돈 (Crospovidone)에 대해 알려드리고자 합니다. 붕해제는 약효 성분이 충분히 몸속에서 잘 확산될 수 있도록 약을 부셔주는 역할을 하는 첨가제로, disintergrant라고 표현합니다. 붕해제의 종류는 다양한데, 이번 주제는 크로스포비돈에 집중하도록 하겠습니다.
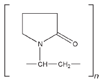
1. 크로스포비돈의 구조
크로스포비돈은 물에 녹지 않는 폴리머 구조로 이루어져 있습니다.
독특한 점은 포비돈과 구조적으로는 유사합니다. USP에 따르면 크로스포비돈은 N-vinyl-2-pyrrolidinone 에 물에 용해되지 않는 폴미머가 교차결합되어 있는 구조라고 표현합니다. 포비돈은 크로스포비돈과 달리 K-vlaue에 영향을 받으며, K-value에 따른 grade가 나뉩니다. 이 부분은 추후에 결합제 포비돈 부분으로 개제하도록 하겠습니다.

2. 크로스포비돈 Chemical name/분자량/CAS No./Pharmacopoeia 등재여부 비교
(1) Chemical name : 1-Ethenyl-2-pyrrolidinone homopolymer
● 공정서 명칭 : Crospovidone
(2) 분자량 : 별도로 알려진 분자량은 없으며, 1,000,000이상으로 알려짐 ((C6H9NO)n)
(3) CAS No. : 9003-39-8
(4) Pharmacopoeia 등재여부 : USP/NF, EP, BP, JP

(5) 크로스포비돈 제조사별 자료
● Ashland사크로스포비돈은 Polyplasdone이라는 브랜드명을 사용하며, Polyplasdone XL, XL-10, Ultra, Ultra-10, Inf-10으로 나뉩니다.d
● BASF사 크로스포비돈은 Kollidon이라는 브랜드명을 사용하며, Kollidon CL, CL-F, CL-SF, CL-M로 나뉩니다. 다만, BASF사의 경우 결합제로 사용하는 포비돈이나 코포비돈 Kollidon 브랜드명을 함께 쓰고 있으니, 착오없으시길 바랍니다.

3. 크로스포비돈의 주요 특징
1) 크로스포비돈은 물에 녹지않는 성질을 가지며, 고형제 붕해제로써 사용됩니다. 대개 2~5%의 용량으로 사용되며, 습식과립, 건식과립에 모두 적용 가능합니다.
2) 붕해력이 강한 붕해제로써 고형제 내부로 빠르게 수분이 흡수/팽창되어 붕해효과를 나타냅니다.
3) 입자가 클 수록 붕해효과가 빠르며, BASF사의 Kollidon의 경우 CL grade가 붕해효과가 강력합니다.
4) 붕해제는 흡습성이 높은 물질이며, 크로스포비돈 또한 흡습성이 우수한 물질입니다. 10~90% 습도에 7일간 보관했을 때, 선형을 그리다가 지수형식으로 증가하여 90%RH에서 약 50%의 흡습성을 나타냅니다. 그래서 서늘하고 건조한 곳에 보관하는 것을 추천드립니다.
5) 크로스포비돈은 Type A와 Type B로 나뉘어져 있으며, 크개 Peroxide 비율과 입자도 차이로 구분합니다. 예외가 있는데 BASF사의 Kollidon CL-F는 입자가 작으나 Type A 입니다.
6) 크로스포비돈은 비고란에 Type A, Type B를 기재해야 하며, 허가변경 대상입니다.
7) 주요 공급처는 BASF사 Kollidon과 Ashland사 Polyplasdone이 대표적이며, JRS Pharma에서도 생산/공급합니다. 중국이나 인도에서도 생산/공급되고 있습니다.
[Ingredients/부형제] 만니톨 (Mannitol, D-Mannitol)
이번 주제도 의약품에 주로 쓰이는 부형제중 하나인 만니톨에 대해서 전달드리고자 합니다. 만니톨은 주로 고형제에 사용되며, 정제, 캡슐제, 과립제에 부형제 (excipients or ingredients or dilluent or fi
u2u2hip.com
[Ingredients/부형제] 유당 (Lactose, Lactose anhydrous, Lactose monohydrate)
이번 주제는 앞서 말씀드린 미결정셀룰로오스와 더불어 가장 흔하게 내용 고형제인 정제, 캡슐제, 과립 등에 사용되고 있는 유당 (Lactose)입니다. 유당은 무수물과 수화물로 나뉘며, 입자크기에
u2u2hip.com
[Ingredients/부형제] 미결정셀룰로오스 (Microcrystalline cellulose, MCC)
의약품이나 건강기능 식품, 화장품, 헬스케어 제품을 복용/사용하고 계실 때, 주성분 (활성성분)을 제외한 성분들에 관해서 궁금해하실 겁니다. 여러분들의 궁금증을 조금이나마 덜어 드릴 수
u2u2hip.com
[Review] 의약품 공정서(Pharmacopoeia)란 무엇인가
국내 의약품 허가심사 신고 규정에 따르면 원료와 완제품에 대한 기준 및 시험 방법을 설정하여 우수한 품질의 의약품으로 관리하도록 하고 있습니다. 그 기준 및 시험방법에 대해서 허가 심사
u2u2hip.com
'Cosme-Pharma' 카테고리의 다른 글
| [Ingredients/활택제] 스테아르산마그네슘 (Magnesium stearate) (0) | 2024.09.20 |
|---|---|
| [Review] 의약품 공정서(Pharmacopoeia)란 무엇인가 (0) | 2023.11.14 |
| [Ingredients/부형제] 세틸알코올 (Cetanol, Cetyl alcohol) (0) | 2023.11.09 |
| [Ingredients/부형제] 만니톨 (Mannitol, D-Mannitol) (0) | 2023.11.01 |
| [Review] 의약품 정보가 궁금하다면 이렇게 해보세요 (0) | 2023.10.24 |
